
44,7 procent – nytt solcellsrekord
Tyska forskningsinstitutet Fraunhofer sätter nytt rekord i verkningsgrad på solceller. Det handlar om så kallade tandemceller med flera skikt som fångar varsitt spektrum av koncentrerat solljus.Fraunhofers rekord sattes i koncentrerat ljus motsvarande 297 solar.
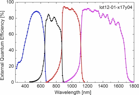
![]() Tyskarnas celler har fyra halvledarskikt – subceller – som absorberar varsitt band på mellan 200 och 600 nm för våglängder upp till 1700 nm. |
Fraunhofer var i somras dessutom först att annonsera en tandemcell för koncentrerat ljus med fyra skikt. Institutet hävdar att verkningsgraden för tandemceller med tre skikt håller på att nå sin fysiska gräns.
Det teoretiska maxvärdet för tandemceller är 87 procent. I januari 2009 låg Fraunhofer på 41,1 procent men bara under de senaste fyra månaderna har det avancerat en dryg procentenhet, sedan det började använda fyra skikt.
Forskningsgruppen – som har fransk medverkan – säger sig kunna ana 50 procents verkningsgrad i ljuset i slutet av tunneln.
Kommersiella tandemceller finns idag med en verkningsgrad på upp till 40 procent De är mycket dyra och används i rymdfarkoster och i koncentratorsolcellansläggningar på soliga platser som Italien, Frankrike, Sydafrika och Kalifornien.
En av tillverkarna är Soitec som knoppades av från Fraunhofer år 2005.


